Hello दोस्तों! आज हम इस पोस्ट में C# Inheritance in Hindi (C# इनहेरिटेंस क्या है?) के बारें में पढेंगे और इसके types और advantages को भी देखेंगे. इसे मैंने बहुत ही आसान भाषा में लिखा है. आप इसे पूरा पढ़िए, आपको यह आसानी से समझ में आ जायेगा. तो चलिए start करते हैं:-
टॉपिक
C# Inheritance in Hindi
C# में, Inheritance एक ऐसी प्रक्रिया है जिसके द्वारा एक old class से new class को create किया जाता है। इस के द्वारा old class की properties को new class में प्रयोग किया जा सकता है।
Old class की properties को new class में use करने के लिए old class को inherit करना पड़ता है और किसी class को inherit करने के लिए public , private और protected एक्सेस मॉडिफाएर का प्रयोग किया जाता है।
Inheritance मुख्य रूप से inherit शब्द (word) से बना हुआ है जिसका अर्थ है विरासत में पाना.
Inheritance में old class को base class या parent class या super class कहा जाता है, और new class को child class या derived class या sub class कहा जाता है।
C# में Inheritance के फायदे
इसके फायदे निम्नलिखित हैं:-
- Reusability –inheritance के द्वारा आप एक class के code को दूसरी class में प्रयोग कर पाते है इससे आपके code की reusability बढती है.
- Readability– inheritance को प्रयोग करने से extra code लिखने की आवश्यकता नहीं होती है जिससे आपके प्रोग्राम में code कम हो जाती है जो readability को बढ़ता है
- Save programmers time –inheritance का उपयोग करने से programmer का time बचता है क्योकि एक ही code को बार बार लिखना नहीं पढ़ता है.
C# Inheritance का syntax
class derived-class : base-class
{
// methods and fields
.
.
}
Types of Inheritance in C# in Hindi – C# में इनहेरिटेंस के प्रकार
C# में, INHERITANCE तीन प्रकार का होता है:-
- Single inheritance
- multilevel inheritance
- hierachical inheritance
Single inheritance
इस इनहेरिटेंस में, एक class को सिर्फ एक ही class के द्वारा inherit किया जा सकता है कोई भी class एक से अधिक classes को inherit नहीं कर सकती है. नीचे आप इसके चित्र को देख सकते हैं:-

इसका example –
using System;
public class Animal
{
public void eat() { Console.WriteLine("Eating..."); }
}
public class Dog: Animal
{
public void bark() { Console.WriteLine("Barking..."); }
}
class TestInheritance2{
public static void Main(string[] args)
{
Dog d1 = new Dog();
d1.eat();
d1.bark();
}
}
Multilevel inheritance
वह इनहेरिटेंस जिसमें एक से अधिक class एक level में एक दूसरे को inherit करते है तो उस इनहेरिटेंस को multilevel inheritance कहते है। इसमें एक sub class दुसरे class के लिए base class की तरह कार्य करती है.
इसका चित्र नीचे आप देख सकते हैं:-

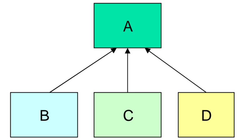
Hierarchical inheritance
जब एक base class को एक से अधिक sub class द्वारा inherit किया जाता है तो उस इनहेरिटेंस को hierarchical inheritance कहते है।
इसका चित्र –

इसका example –
class A //base class
{
public string msg()
{
return "this is A class Method";
}
}
class B : A
{
public string info()
{
msg();
return "this is B class Method";
}
class C : A
{
public string getinfo()
{
msg();
return "this is B class Method";
}
}
}
Reference – https://www.geeksforgeeks.org/c-sharp-inheritance/
निवेदन:- अगर आपके लिए C# inheritance in Hindi का यह आर्टिकल उपयोगी रहा हो तो इसे अपने friends और classmates के साथ अवश्य share कीजिये. अगर आपके किसी भी subjects से related कोई questions हो तो उन्हें नीचे comment करके बताइए. keep learning..