Mealy machine and Moore machine in Hindi – मीली और मूरे मशीन क्या है?

hello दोस्तों! आज मैं इस article में आपको what is Mealy and Moore Machine in Hindi (मीली और मूरे मशीन क्या है?) के बारें में बताऊंगा, तथा इनके मध्य difference को भी पूरे विस्तार से पढेंगे, तो चलिए start करते हैं:-

Mealy machine in Hindi (मीली मशीन क्या है?)

एक mealy machine एक finite state machine (FSM) होती है जिसकी output, वर्तमान state के साथ साथ वर्तमान input पर भी निर्भर करती है.

इसे 6 tuples के द्वारा describe किया जाता है (Q, ∑, O, δ, X, q0).

  • Q states का एक finite set है.
  • symbols का finite set है. जिसे input alphabet कहते है.
  • O symbols का finite set है. जिसे output alphabet कहते है.
  • δ एक input transition function है जहाँ:- δ: Q × ∑ → Q.
  • X एक output transition function है जहाँ:- X: Q × ∑ → O
  • q0 शुरूआती state है जहाँ से कोई भी input प्रोसेस होती है. (q0∈ Q).

mealy machine की state table को नीचे दिखाया गया है:-

state table of a Mealy Machine in hindi

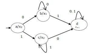
उपर दी गयी mealy machine का state diagram:-

state diagram of Mealy Machine in hindi
इमेज

Moore machine in hindi (मूरे मशीन क्या है?)

moore machine भी एक FSM है जिसकी आउटपुट केवल वर्तमान state पर निर्भर रहती है.

एक मूरे मशीन को 6 tuples ((Q, ∑, O, δ, X, q0) के द्वारा describe किया जाता है. जहाँ:-

  • Q states की एक finite set है.
  • symbols (संकेतों) का एक finite set है जिसे इनपुट अल्फाबेट कहते है.
  • Osymbols (संकेतों) का एक finite set है जिसे आउटपुट अल्फाबेट कहते है.
  • δ इनपुट ट्रांजीशन फंक्शन है जहाँ:- δ: Q × ∑ → Q
  • X आउटपुट ट्रांजीशन फंक्शन है जहाँ:- X: Q → O
  • q0 एक शुरूआती state है जहाँ से कोई भी इनपुट process होता है. (q0∈ Q).

मूरे मशीन की state टेबल को नीचे दर्शाया गया है:-

state table of a Moore Machine

उपर दी गयी moore machine का स्टेट डायग्राम:-

state diagram of moore machine in hindi

difference between mealy machine and moore machine in hindi (इनके मध्य अंतर)

इनके मध्य अंतर निम्नलिखित है:-

Mealy Machine Moore Machine
इसमें आउटपुट वर्तमान state और वर्तमान input दोनों पर depend करता है. इसमें output केवल वर्तमान state पर depend करता है
सामन्यतया, इसके पास moore machine से कम states होती हैं. सामन्यतया, इसके पास mealy machine से ज्यादा states होती हैं
mealy machines इनपुट को ज्यादा तेजी से react करती है. ये सामन्यतया एकसमान clock cycle से react करती हैं. moore machines में, output को डिकोड करने के लिए ज्यादा logic की आवश्यकता होती है. ये सामन्यतया एक clock cycle देरी से react करते हैं
इसमें आउटपुट transitions में place होता है. इसमें आउटपुट states में place होता है.
design करने के लिए कम हार्डवेयर की जरुरत पड़ती है. ज्यादा हार्डवेयर की आवश्यकता होती है.
यदि input में बदलाव होता है तो आउटपुट भी बदल जाता है. यदि इनपुट में बदलाव होता है तो output में कोई change नही होता है.
इसे डिजाईन करना बहुत ही कठिन है. इसे डिजाईन करना आसान है.

इसे पढ़ें:- finite automata क्या होता है?

moore machine to mealy machine

input – moore machine

output – mealy machine

स्टेप 1:- एक खाली mealy machine transition टेबल फॉरमेट लें.

स्टेप 2:- सभी Moore Machine transition states को इस टेबल फॉरमेट में copy करें.

स्टेप 3:- Moore Machine state table में वर्तमान state और उनके सम्बन्धित output को check करें. यदि किसी state के लिए Qi आउटपुट m है, तो उसे Mealy मशीन स्टेट टेबल के आउटपुट कॉलम में कॉपी करें जहां अगले state में Qi दिखाई देता है।

mealy machine to moore machine

input:- mealy machine

output:- moore machine

स्टेप1:- mealy machine के state table में उपस्थित प्रत्येक state (Qi) के लिए विभिन्न outputs को कैलकुलेट करें.

स्टेप 2:- यदि Qi के सभी outputs एकसमान है तो state Qi को copy करें. यदि इसके पास अलग-अलग n outputs हैं, तो Qi को n states में तोड़ दें। जैसे:- Qin ,जहाँ n = 0, 1, 2, 3,…..

स्टेप 3:- यदि शुरूआती state का output 1 है तो शुरुआत में एक नया शुरूआती state डालें जो 0 आउटपुट देता है।

निवेदन:- अगर आपको इस post से थोड़ी सी भी help मिली हो तो इसे अपने friends के साथ अवश्य share कीजिये. और आपके इस post से सम्बन्धित कोई question हो तो उसे नीचे comment के द्वारा अवश्य बताइये. धन्यवाद. जय हिन्द.

Leave a Comment